目前,世界人口的中位年齡正在迅速上升。在美國,≥65歲的人口比例預計將從2000年的12.4%增長到2030年的19.6%。老年人與睡眠問題有關;事實上,超過一半的65歲以上的成年人報告至少有一種睡眠問題。

老年人的睡眠質量差與神經認知能力下降和癡呆癥的發生有關。有關長期失眠的老年人的文獻進一步表明,認知障礙的發生率很高,特別是在執行功能的測量方面。睡眠質量差可以預測在隨訪1年時,老年人的記憶和整體認知功能的下降。在最近的薈萃分析中,睡眠呼吸紊亂(SDB)、失眠和睡眠時間(SD)與阿爾茨海默病(AD)的風險增加有關。鑒于神經認知功能是預測老年人功能能力和生活質量的最重要因素,揭示與睡眠相關的神經認知功能下降的細微差別,對高危人群制定有針對性的干預措施是至關重要的。
老年人SDB和睡眠不足的常見相關因素包括代謝綜合征(MetS)及其一些組成部分(即肥胖、高血壓和糖尿病)。與非西班牙裔白人相比,西班牙裔/拉美裔患MetS的風險明顯較高,患阿爾茨海默氏病和相關癡呆癥(ADRD)的風險為4倍。
縱向研究也表明,失眠和SDB的癥狀可預測3年后的MetS事件。在西班牙裔/拉美裔成年人的不同隊列中,短SD和白天打盹與肥胖之間有很強的關聯。MetS是神經認知能力下降的一個強有力的預測因素,因此,研究由MetS改變的影響認知的睡眠特征是很重要的。
在年齡大于65歲的西班牙裔/拉美裔成年人中,MetS和肥胖的發生率較高。目前,直接研究睡眠措施預測不同年齡和性別組的神經認知能力下降的代謝途徑的研究很少,特別是在脆弱的西班牙裔/拉美裔參與者中。
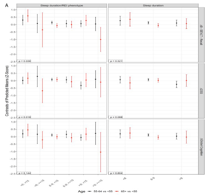
藉此,邁阿密大學的Sonya S. Kaur等人,研究了MetS和肥胖對不同年齡和性別組的西班牙裔/拉美裔成年人的睡眠表型與神經認知功能障礙和衰退之間關系的影響修飾。
暴露因素是基線SDB(呼吸事件指數≥15),困倦(Epworth困倦量表≥10),SD(<6小時,6-9小時,≥9小時),臨床結局是7年后的認知減退(ND)。

他們發現,平均年齡為56.0歲,54.8%為女性。肥胖改變了最年長年齡組的SDB/SD和ND在記憶(F = 21.49, P < 0.001)和整體認知(F = 9.14, P < 0.001)方面的關聯。
沒有MetS的婦女在合并長睡眠/SDB的情況下,表現出最明顯的整體認知下降(F = 3.07,P = 0.010)。
這個研究的重要意義在于:發現了在肥胖的老年人中,合并SDB/長睡眠與記憶、整體認知的下降之間的關系最明顯。在女性中,MetS狀態改變了長睡眠/SDB和整體認知下降之間的聯系。
原文出處:
Kaur SS, Tarraf W, Wu B, Gonzalez KA, Daviglus M, Shah N, Sotres-Alvarez D, Gallo LC, Wohlgemuth W, Redline S, Gonzalez HM, Ramos AR. Modifying pathways by age and sex for the association between combined sleep disordered breathing and long sleep duration with neurocognitive decline in the Hispanic Community Health Study/Study of Latinos (HCHS/SOL). Alzheimers Dement. 2021 May 25. doi: 10.1002/alz.12361. Epub ahead of print. PMID: 34032354.